来源:纳米技术
Betway必威的袁明鉴通过合成 [(R)‐β‐MPA]2MAPb2I7 ((R)‐β‐MPA=(R)‐(+)‐β‐methylphenethylamine, MA=methylammonium)手性二维准钙钛矿材料,具有内部的手性,并能够对CPL光子的极化状态有区分能力。通过圆偏振光(circular polarized light, CPL)测试对手性准二维钙钛矿晶体材料对偏振光的的探测性能进行表征。相对应的准二维手性钙钛矿柔性光探测器在测试中展现了非常好的测试性能(是目前报道的相关数据的一个数量级上的提高)。通过对薄膜的晶化动力学进行优化,优化了材料的载流子传输性能。通过对钙钛矿生长方向的取向生长,实现了提高的载流子传输性能,作者认为这种手性钙钛矿器件是高响应性的偏振光探测器。
本文要点
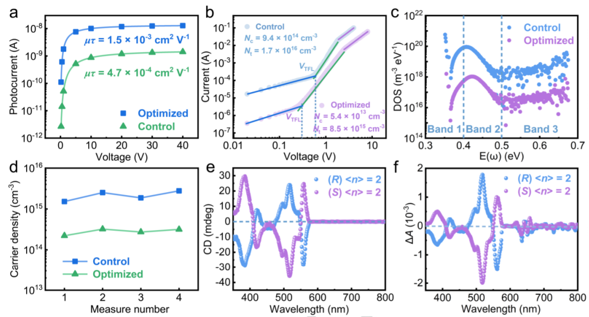
(1)由于缺陷等位点影响材料的质量,并会降低器件的光电性能。因此,作者在材料生长过程中通过加入还原剂,并通过加热后处理方法实现提高材料的质量。通过空间电荷限制电流(space-charge-limited current, SCLC)测试对材料中的缺陷浓度进行表征,结果显示材料中的缺陷位点浓度为4.3 × 109 (这个数值低于目前报道的准二维钙钛矿材料4.53 × 1010)。通过热导率(thermal admittance spectroscopy, TAS)测试的结果和SCLC相符合,同样说明材料缺陷浓度较低。另外,发现材料中的暗电流较低,说明材料界面上的载流子浓度较低。通过GIWAXS对材料的晶体生长方向进行表征,说明材料中实现了高度方向性生长。通过超快瞬态吸收光谱对载流子的动力学进行测试,对基态漂白信号(ground state bleaching,GSB)进行表征,发现优化后的材料薄膜有单一的GSB信号(优化前GSB有多个峰)。
(2)测试情况。制备了柔性钙钛矿二维薄膜光电探测器,展现了对左、右旋偏振光的区分能力。在多次弯曲作用后,材料器件仍可以使用(100次弯折后,光响应能力保持>90 %)。材料的光响应值为1.1 A/W,这高于目前报道的值(0.79 A/W)。


参考文献
Lin Wang, Yongxiang Xue, Minghuan Cui, Yanmin Huang, Hongyu Xu, Chaochao Qin, Jien Yang, Haitao Dai, Mingjian Yuan*
A Chiral Reduced-Dimension Perovskite for an Efficient Flexible Circularly Polarized Light Photodetector
Angew. Chem. Int. Ed., 2020, DOI: 10.1002/anie.201915912
https://onlinelibrary.wiley.com/doi/abs/10.1002/anie.201915912