来源:X-MOL资讯
非活化烯烃来源广泛且易于获得,是有机合成中的重要基础原料。基于这一类烯烃的催化转化研究,吸引了化学家们的广泛兴趣。特别是,非活化烯烃的氢胺烷基化反应,由于在合成有机胺方面的应用潜力,在医药、农药以及精细化学品的生产中具有重要价值。尽管在过去几十年里,该领域已取得一定进展,但因非活化烯烃的低极性、电子分布均匀以及与过渡金属作用力弱等特点,使得该反应的区域及立体选择性调控困难。当前,已有的氢胺烷基化方法主要通过不同底物的组合来实现区域选择性的调控(图1A),这限制了其实际应用范围。因此,发展催化剂调控区域选择性氢胺烷基化的新方法,即利用相同原料,通过选用不同催化剂达到高选择性合成不同产物的目的,成为提高反应合成效率和原子经济性的关键。
近年来,Betway必威肖力军课题组专注于基于氧化环金属化策略的催化合成反应研究。他们在研究中发现了分子间烯烃、亚胺与零价镍络合物通过氧化环金属化反应生成镍杂五元环中间体的过程(J. Am. Chem. Soc. 2019, 141, 2889; Org. Lett. 2021, 23, 7900; Adv. Synth. Catal. 2022, 364, 3420; CCS Chem. 2023, 5, 814; ACS Catal. 2023, 13, 8692; Chem. Sci. 2023, 14, 8644; J. Am. Chem. Soc. 2023, 145, 19195)。基于对环镍中间体生成、转化及选择性调控的研究,该团队成功实现了多种芳基烯烃与亚胺的直接加成、氢胺烷基化(还原偶联)等反应。然而,对于非活化烯烃(脂肪烯烃)的区域选择性氢胺烷基化反应,这些催化体系依旧面临挑战。近日,肖力军课题组通过不同的单膦配体与二价镍前体形成的镍络合物催化剂,有效调控了非活化烯烃氢胺烷基化反应的区域选择性,实现了具有区域发散性和非对映选择性的合成(图1B)。其中,使用三叔丁基膦(PtBu3)配体可以实现支链的区域选择性和非对映选择性调控,而使用乙基二苯基膦(PPh2Et)则可以实现直链区域选择性调控。通过探讨配体参数与反应结果的关联,发现配体空间描述符—最小埋藏体积百分比%Vbur(min),是预测反应区域选择性的关键参数。该反应具有底物适用范围广、官能团耐受性好等特点,为胺类化合物的合成提供了一种高效的方法。此外,采用易于获得的简单原料和成本较低的二价镍作为催化剂前体使得该方法更具有实用性。借鉴西湖大学石航课题组使用磺酰胺为亚胺前体和氢源的工作(Nat. Commun. 2021, 12, 5881),该反应通过磺酰胺脱氢生成亚胺,与烯烃形成环镍中间体;随后,利用体系中的磺酰胺作为氢源还原环镍中间体,再生亚胺和活性催化剂,完成催化循环。

图1. 过渡金属催化非活化烯烃的氢胺烷基化反应
作者选取烯烃1a和磺酰胺2a作为模版底物,优化反应条件。经过系统的优化,作者发现使用PtBu3作为配体时,能以99%的收率获得以支链为主的产物(b/l > 95:5)。换用体积较小的配体后,经系统筛选,发现使用PPh2Et作为配体时,能以76%的收率获得以直链为主的产物(l/b = 87:13)(图2)。随后,作者深入研究了反应区域选择性与配体结构的关系。借助Gensch等人近期开发的名为“Kraken”的膦配体描述符库,该库提供了数千种单膦配体的多种描述符。通过分析,作者发现反应的区域选择性与两个配体空间描述符——锥角(图2B)和最小埋藏体积百分比%Vbur(min)(图2C)相关。通过对数十种的膦配体数据集分析,作者确定了两个与反应区域选择性相关的阈值:配体锥角约为150°,最小埋藏体积百分比%Vbur(min)约为29%。虽然锥角参数未能完全区分两类配体,但最小埋藏体积百分比%Vbur(min)成功区分了支链选择性与直链选择性的不同配体。最小埋藏体积百分比%Vbur(min)大于29%的配体倾向于支链选择性,而小于29%的配体则表现出直链选择性。

图2. 配体评价实验
确定最优条件后,作者研究了反应底物的适用范围。选取PtBu3作为最优配体,作者对多种非活化烯烃底物进行了考察。这些底物在氢胺烷基化反应中均展现出了优异的支链区域选择性和syn式非对映选择性,同时获得了良好的收率(图3)。

图3. 支链选择性氢胺烷基化:烯烃底物
接着,作者对多种磺酰胺底物的适用性进行了考察。这些底物在反应中表现出了高的支链选择性和syn式非对映选择性,同时也获得了出色的收率(图4)。

图4. 支链选择性氢胺烷基化:磺酰胺底物
随后,作者将膦配体更换为PPh2Et,成功地将氢胺烷基化反应的区域选择性从支链选择性转变为直链选择性(图5)。

图5. 直链选择性氢胺烷基化底物范围
为了展示合成方法的实用性,作者将催化剂用量降至5 mol%并且进行了克级规模的合成(图6)。值得注意的是,即便在这样的条件下,反应的收率和区域选择性也没有显著下降。特别地,4p在脱除保护基和经过乙酰化处理后,可以得到产物6,这种产物是从Microcoleus lyngbyaceus提取的一种天然产物。

图6. 降低催化剂用量实验和克级规模合成
通过机理实验,作者研究了反应中各组分的作用机理(图7)。研究发现,添加适量的溴苯能够促进磺酰胺向磺酰亚胺的转换;底物磺酰胺作为亚胺前体和氢源;苯硼酸作为添加剂具有双重作用:一方面,它能将二价镍催化剂还原为更活性的零价镍催化剂,另一方面,它可能促进了关键中间体的开环反应。值得注意的是,实验中发现,加入苯硼酸能显著增加关键成分磺酰胺钾盐在甲苯中的溶解度,这可能是促进反应高效进行的一个关键因素。

图7. 机理实验
为了深入探究配体调控区域选择性和非对映选择性的原理,作者针对镍催化1a与7b反应中决定区域选择性和非对映选择性的关键步骤—氧化环金属化,进行了密度泛函理论(DFT)计算(图8)。他们发现配体的空间位阻及CH/π弱相互作用对反应的区域选择性和非对映选择性有着显著影响。这些计算结果与实验数据相一致。

图8. DFT计算
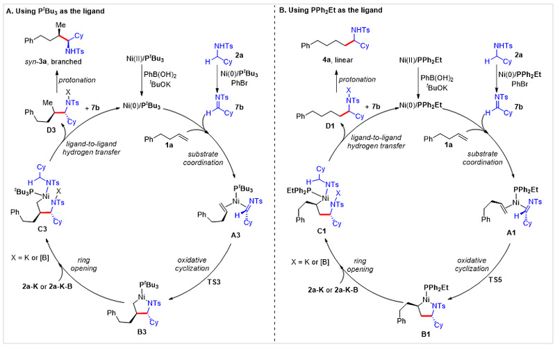
基于机理实验和DFT计算结果,作者建议了可能的反应机理。使用配体PtBu3时,反应经由中间体A3,通过过渡态TS3,形成镍杂五元环中间体B3,进而生成具有支链区域选择性和syn式非对映选择性的产物syn-3a(图9A)。另一方面,当使用配体PPh2Et时,反应则是通过中间体A1和过渡态TS5生成中间体B1,从而促使生成具有直链区域选择性的产物4a(图9B)。这样不同的配体选择引导反应沿着不同的路径进行,从而实现了对产物区域选择性和非对映选择性的精准控制。

图9. 提出的反应机理
综上,作者发展了一种通过配体调控的镍催化的非活化烯烃与磺酰胺的区域发散性氢胺烷基化反应。其中,使用配体PtBu3有利于实现反应的支链区域选择性和syn式非对映选择性;而配体PPh2Et更倾向于直链选择性。通过系统地研究各种单膦配体,并引入配体空间描述符%Vbur(min)来高效地链接配体结构与反应区域选择性,展现了预测反应趋势的可能性。该反应以其原料便宜易得、底物适用范围广泛、条件温和及良好的官能团兼容性等特点,为胺类化合物的高效合成提供了一种实用的新方法。通过DFT计算研究,进一步阐释了配体调控区域选择性的机制,为将来开发新的配体调控催化反应奠定了理论基础并提供了启示。
该研究工作近期发表在J. Am. Chem. Soc.上,文章通讯作者为Betway必威肖力军研究员,第一作者为Betway必威博士研究生张天泽。该项工作得到了国家自然科学基金和科技部重点研发计划的支持。
原文(扫描或长按二维码,识别后直达原文页面):

Ligand-Controlled Regiodivergent Nickel-Catalyzed Hydroaminoalkylation of Unactivated Alkenes
Tianze Zhang, Shan Jiang, Meng-Ying Qian, Qi-Lin Zhou, and Li-Jun Xiao*
J. Am. Chem. Soc., 2024, 146, 3458–3470, DOI: 10.1021/jacs.3c13060