来源:eChemStore

第一作者:房恒义;黄耀辉(共同一作)
通讯作者:李福军教授
通讯单位:Betway必威
Doi:10.1002/202400539
1. 全文速览
钠离子电池(SIBs)由于钠资源丰富、成本低等优势被认为是大规模储能的潜在候选者。然而,SIBs的宽温域运行受到低温下电解液和不稳定负极的适应性限制。这与Na+脱溶动力学和离子在固体电解质界面(SEI)中的传输密切相关。尽管碳酸酯基电解液已广泛应用于SIBs,但溶剂中羰基与Na+之间显示出强的Na+-偶极相互作用,导致溶剂鞘中溶剂配位增多。这将使得碳酸酯基电解液凝固点升高,进而引起低温下负极倍率性能不佳等问题。醚类电解液因具有比碳酸酯更低的粘度和更好的还原稳定性而受到广泛关注。然而,强烈的Na+-溶剂配位也会导致低温下缓慢的Na+脱溶剂动力学以及富有机组分SEI的形成。不稳定的SEI阻碍了界面离子传输,并持续诱导电解液分解,导致低温下差的循环稳定性。因此,对离子-偶极相互作用和溶剂结构进行适当调节,以改善低温下高性能SIBs的界面动力学,对于提高SIBs的低温电化学性能至关重要。
鉴于此,Betway必威李福军教授团队设计了一种离子-偶极相互作用减弱的弱溶剂化电解液(WSE),将2-甲基四氢呋喃(2MeTHF)用作共溶剂加入到六氟磷酸钠/四氢呋喃(NaPF6/THF)电解液中,以实现阴离子增强的溶剂化结构。2MeTHF的引入降低了电解液溶剂化结构中阳离子-溶剂的结合强度,减弱了离子-偶极子相互作用,促使更多的阴离子参与到溶剂鞘层中。这有利于阴离子的优先还原分解和富含无机物的SEI的形成,进一步降低了钠离子扩散能垒,增强了负极界面动力学,确保了低温条件下硬碳(HC)负极的稳定运行,相关成果以“Regulating Ion-Dipole Interactions in Weakly Solvating Electrolyte towards Ultra-Low Temperature Sodium-Ion Batteries”为题发表在Angew. Chem. Int. Ed.,第一作者为房恒义和黄耀辉。
2. 图文解析

图1.(a)N-mixTHF、N-2MeTHF和N-THF的拉曼光谱;(b)不同配位结构的比例;(c)17O NMR光谱;(d)FTIR光谱;(e)DSC曲线;(f)电导率。Ts:盐析温度。

图2.(a-c)从分子动力学模拟中得到的电解液在-40°C下的Na+溶剂化构型的径向分布函数(RDF)。(d-f)-40°C下三种电解液的分子动力学模拟快照。浅珊瑚色、青绿色、深蓝色和红色分子分别代表配位的THF、2MeTHF、PF6-和Na+。(g-i)不同电解液的典型溶剂化结构,温度为-40°C。键路径上的蓝色点代表BCP点。(j)三种电解液中Na+-O键的BCP电子密度。(I)N-THF中的O、(Ⅱ)N-mixTHF中的THF的O、(Ⅲ)N-2MeTHF中的O和(Ⅳ)N-mixTHF中的2MeTHF的O。(k)不同电解液在HC负极表面的Na+脱溶剂化示意图。

图3. HC负极在(a)N-mixTHF、(b)N-2MeTHF和(c)N-THF中在-40°C下经过三个循环后的高分辨透射电镜(HRTEM)图像,以及(d-f)对应的F 1s的XPS光谱。(g)不同溶剂化结构的HOMO和LUMO能级:(Ⅰ)Na+[PF6-]2[THF]4、(Ⅱ)Na+[PF6-]3[2MeTHF]3、(Ⅲ)Na+[PF6-]4[2MeTHF][THF]3和(Ⅳ)Na+[PF6-]4[2MeTHF]2。(h) Na+-偶极调控对富无机SEI形成机制的影响示意图。

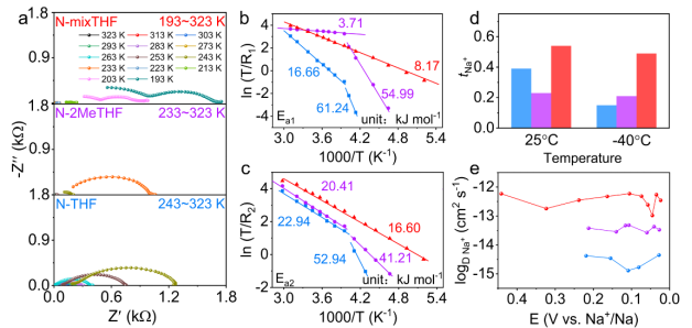
图4.(a)Na||Na对称电池在N-mixTHF(193至323 K)、N-2MeTHF(233至323 K)和N-THF(243至323 K)中经过五十次沉积和剥离后的Nyquist图。(b)从Nyquist图中计算出的Na+通过SEI的传输活化能Ea1和(c)Na+去溶剂化能Ea2。(d)在25°C和-40°C下,三种电解液中的tNa+。(e)在-40°C下,HC负极在三种电解液中的GITT曲线。

图5.(a)HC在N-mixTHF、N-2MeTHF和N-THF中在25°C下的首次充放电曲线,电流密度为50 mA g-1以及(b)倍率性能。(c)HC在-40°C下的首次充放电曲线,电流密度为50 mA g-1,以及(d)HC在不同温度下(-20°C以上时电流密度为100 mA g-1,-40°C和60°C时电流密度为50 mA g-1)在N-mixTHF中的长循环性能。(e)25°C(200 mA g-1)和-40°C(50 mA g-1)时全电池的循环性能。
3. 总结与展望
本文开发了一种弱溶剂化电解液,2MeTHF的引入削弱了电解液中的离子-偶极相互作用,实现了超低温下HC负极的稳定钠存储。减少阳离子-溶剂配位将导致第一溶剂化鞘层中存在更多阴离子,这使得N-mixTHF具有低至-83.3°C的凝固点。分子动力学模拟表明,N-mixTHF在低温下保持了阴离子增强的溶剂化结构。同时,N-mixTHF低的去溶剂化能有利于PF6-在HC负极上的分解,生成的富含NaF的SEI加快了N-mixTHF的界面动力学。这使得Na||HC半电池在-40°C和-60°C时以50 mA g-1的电流密度运行时可提供高达243.2和205.4 mAh g-1的可逆容量。与磷酸钒钠配对的全电池在-40°C下运行250圈容量保持率约为100%。这项工作为超低温钠离子电池电解液设计提供了新见解。