来源:元素有机化学国家重点实验室

导语
如何实现农药的精准释放、叶片的高黏附作用、优良的抗光解能力,从各个层面保证农药的高效利用,降低对生态环境的危害,减少资源浪费越来越成为植物保护的核心问题。近日,Betway必威汪清民团队在该研究领域取得了重要突破,首次通过光交联的方式不需额外添加任何化学试剂构建了负载阿维菌素的纳米凝胶,各项性能都取得了显著的提升,相关研究成果发表在工程技术与化学化工领域最有影响力的三大顶级刊物之一Chem. Eng. J.(DOI: 10.1016/j.cej.2024.150061)。
前沿科研成果
基于一种乳化交联剂的光交联纳米凝胶全面提高农药利用率
农药在农业生产中一直扮演着极其重要的角色,对于防范生物灾害、保障作物生产、促进农作物持续稳定增长有重要的不可替代的作用。然而,它们的低效过度使用、非靶向效应对自然环境和非目标生物造成了巨大危害。因此,智能纳米农药成为了农药高效率利用、绿色可持续发展的重要策略。尽管新型绿色农药传递系统不断涌现,但其商业化往往受到复杂制备工艺、单一性能、昂贵原材料等限制。纳米凝胶具有许多优秀性质,如良好的生物相容性和生物降解性,优异的药物载荷能力和良好的稳定性,使其成为稳定农药活性成分的环保选择。因此,作者着手开发一种新型绿色纳米凝胶,易于制备,并表现出优秀的铺展润湿性、叶面保留性、抗光解性能、包封能力以及对负载农药的响应释放。

(图片来源:Chem. Eng. J.)
首先,作者通过将硫辛酸引入到一种含氟表面活性剂当中合成了一种兼具表面活性和交联特性的多功能乳化交联剂。随后以此乳化交联剂为基础通过反相法制备得到一种负载阿维菌素的纳米乳液,将此纳米乳液在紫外光照条件下发生交联反应,即可得到纳米凝胶。经过证明,这一紫外光照交联过程并不会破坏装载的药物分子。
在光照条件下纳米乳液中的乳化交联剂发生交联反应,在纳米乳液内部形成的一种三维网状结构,即形成了纳米凝胶。对纳米凝胶进行稳定性分析和形貌分析表征可以发现,这一三维网状结构的形成有效提升了纳米乳液的稳定性。

(图片来源:Chem. Eng. J.)
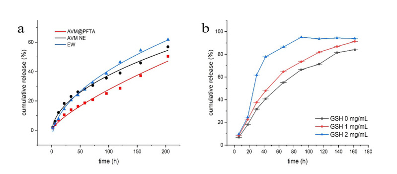
由于纳米凝胶内部形成的三维网状结构的包封,相比于未进行光交联的纳米乳液和一种商品化阿维菌素水乳,纳米凝胶体现出了明显的缓释行为,有利于病虫害的长效防治。
谷胱甘肽(GSH)是细胞内普遍存在的一种多肽,由于纳米凝胶中二硫键构成的三维网状结构,这一负载阿维菌素的纳米凝胶实现了在不同谷胱甘肽浓度下的响应性释放,且随着谷胱甘肽浓度的上升,释放速率也随之加快。

(图片来源:Chem. Eng. J.)
在叶面润湿铺展性能实验中,纳米尺寸的纳米凝胶和纳米乳液表现都优于商品化水乳。雨水冲刷模拟测试的结果也表明了纳米凝胶优良的叶片持留能力。
抗光解实验结果表明,光交联产生的交联网络相比于纳米乳液明显提升了包载药物阿维菌素的抗光解能力。

(图片来源:Chem. Eng. J.)
生物活性测试表明,光交联构建的纳米凝胶以4.6987 mg/L的LC50值远低于其他对照组,表明了光交联构建的纳米凝胶对包载药物阿维菌素利用率的大大提高。
总之,汪清民团队首次通过光交联的方式一步构建了负载阿维菌素的纳米凝胶载体,实现了谷胱甘肽响应性释放,有效提高了在叶片表面的铺展和持留能力,纳米凝胶大大提高了阿维菌素的抗光解能力。生物活性测试中纳米凝胶展现了良好的小菜蛾活体活性。
本篇工作通讯作者为Betway必威的汪清民教授和宋红健副研究员以及天津农学院的张静静副教授。Betway必威硕士研究生许鑫鑫为该论文的第一作者,上述研究工作得到了国家自然科学基金和国家重点研发计划的资助。
课题组简介

Betway必威汪清民课题组隶属于Betway必威元素有机化学国家重点实验室和Betway必威及有机新物质创造前沿科学中心。目前课题组拥有老师和研究生20多人。研究方向为生态农药、药物创制及环境友好的绿色合成反应。承担科技部、国家自然科学基金委、教育部、天津市等各种科研项目40多项。先后在Sci Adv.; Nat. Commun.; Angew. Chem. Int. Ed.; ACS Cent. Sci.; Chem. Eng. J.; ACS Catal.; Chem. Sci.; Green Chem.; ChemSusChem.; ACS Sustainable Chem. Eng.; Arthritis & Rheumatism;J. Agric. Food Chem.; Pest Manag. Sci.; J. Med. Chem.等杂志上发表论文300余篇,申请了100多项中国和美国及欧洲等发明专利,已授权90多项中国和美国及欧洲等发明专利,出版著作5部(章)。发明了仿生农药拟除虫菊酯系列产品和重大农药品种及高端精细化学品的清洁生产新方法,已成功应用于工业化大生产,产生了巨大的经济效益。创制了多个超高效的植物病毒病防治药剂和绿色杀虫杀螨剂候选品种以及国家Ⅰ类新药,处于产业化开发的不同阶段。培养毕业了30多名博士生和60多名硕士生,毕业研究生获得了全国优秀博士学位论文提名奖、天津市优秀博士学位论文、Betway必威优秀博士学位论文、Betway必威优秀硕士学位论文和国家奖学金等。