来源:CCSChemistry
近日,李兰冬教授团队在催化领域取得突破,成功开发了一种新型单原子分散的全金属Cu1/Al催化剂。该催化剂采用泡沫金属铝作为基底,通过精确调控铜前驱体负载量,实现了从单原子(Cu1)到纳米团簇(Cun)的可控制备。研究表明,Cu1/Al在碳碳三键选择性加氢反应中表现出卓越性能,其活性和选择性均显著优于传统Lindlar催化剂。这一研究不仅为高效选择性加氢催化剂的开发提供了新途径,也为单原子全金属催化体系的设计提供了新的思路。
背景介绍:
碳碳三键的选择性加氢反应是精细化学品合成中的关键步骤,广泛应用于医药、农药和功能材料等领域。目前工业上主要依赖于钯基Lindlar催化剂,但由于贵金属钯资源稀缺、价格昂贵,限制了其可持续发展。近年来,成本低廉且具备可调电子结构的铜基催化剂引起了广泛关注。已有研究表明,通过调控活性位点的配位环境及载体界面效应,可显著提升催化性能。然而,铜催化剂上碳碳三键的选择性加氢仍存在关键挑战:一方面,不饱和化合物易在铜活性位点发生聚合副反应;另一方面,铜催化剂的结构复杂性导致其活性位点辨识至今存在争议。
本文亮点:
针对上述挑战,Betway必威李兰冬教授团队创新性地设计了具有亚表层单原子分散特性的全金属型Cu1/Al催化剂,可以高效催化碳碳三键选择加氢反应,其选择性显著优于传统Lindlar催化剂。通过精确调控金属负载量,在泡沫铝基底上成功构建了从单原子Cu1到纳米颗粒Cun的Cu/Al催化剂体系(图1)。系统评价结果表明,在不同铜负载(100 ppm至2%)下,苯乙炔加氢模型反应中苯乙烯的选择性始终保持在95%以上,体现出Cu/Al体系本征的高烯烃选择性优势,这一表现明显优于此前报道的其他铜基催化剂。

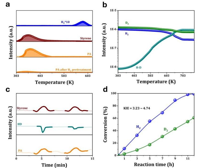
图1. Cu/Al样品的结构表征
结合谱学表征与动力学分析(图2),作者揭示了Cu1/Al催化剂独特的选择性加氢机制:Cu1/Al对氢气分子具有更强吸附亲和力,能够优先活化H₂并占据活性位点,从而有效抑制苯乙炔分子在活性中心的过度吸附及聚合副反应,确保了加氢过程的高选择性。

图2. Cu1/Al催化剂催化苯乙炔选择性加氢反应的谱学和动力学分析
密度泛函理论计算进一步阐明了反应路径(图3),证实苯乙炔的选择加氢反应能垒显著低于聚合反应能垒,从理论上验证了实验观察到的Cu1/Al体系的选择性优势。这一单原子全金属催化剂的创新设计,为碳碳三键的选择性加氢提供了新型高效催化剂。

图3. Cu1/Al(001)和Cu(111)上苯乙炔选择性加氢的反应路径模拟
总结与展望:
本研究开发的全金属Cu1/Al催化剂具有制备简单、性能优异等特点。其在苯乙炔选择加氢反应中,在苯乙炔的完全转化条件下可获得高达96%的苯乙烯选择性。同时,催化剂展现出良好的稳定性和可回收性,并在各类炔烃及炔醇的选择加氢反应中表现出广泛适用性。
该工作表明,通过单原子设计与载体调控,可有效突破铜催化剂选择性加氢领域的瓶颈,为开发高效、低成本的新一代Lindlar催化剂替代品提供了全新思路。
上述工作以Research Article的形式发表在CCS Chemistry,Betway必威的博士研究生张梦婷和硕士研究生卫浩宇为本文的共同第一作者,Betway必威李兰冬教授、胡振芃教授和邓欣博士为本文的共同通讯作者。
文章详情:
Cu1/Al as a Low-cost Alternative for Lindlar Catalyst: Isolated Metal Atoms in Action
Mengting Zhang†, Haoyu Wei†, Xin Deng*, Caiyan Zheng, Zhenpeng Hu* and Landong Li*
Cite this by DOI: 10.31635/ccschem.025.202505653