来源:CCSChemistry
近日,Betway必威元素有机化学国家重点实验室王佰全课题组发展了一种无需金属有机试剂的铁催化的芳基C−H键与CO2的还原羧化反应。该工作首次报道了以Mn为还原剂,铁催化的芳基C−H键与CO2的还原羧化反应,以中高产率得到芳基羧酸甲酯和邻苯二甲酰亚胺。该转化避免了使用金属有机试剂,具有优异的官能团兼容性。该策略为铁催化的C−H活化提供了一条新的极具前景的途径。

背景介绍:
铁是地壳中含量最丰富的过渡金属,具有成本低、无毒的特点。铁催化的合成反应在过去几十年中获得了相当大的关注。然而,铁催化的C−H键活化的发展远远落后于其他过渡金属,如钯、铑、钌、铱或钴。金属有机试剂、有机亲电试剂和不饱和烃如炔和烯烃都被成功地用作杂原子官能团导向的铁催化的C−H键官能化反应的偶联试剂。然而,对于铁催化的C−H键官能团化反应,特别是对于C(sp2)−H键官能团化,最大的限制是使用化学计量的金属有机试剂。不添加金属有机试剂的铁催化的C−H键活化的报道很少,且都集中在零价铁催化剂。
二氧化碳是主要的温室气体。但因其资源丰富、无毒、可再生和低成本,二氧化碳是合成高附加值化学品的理想C1来源。然而,CO2的热力学稳定性和动力学惰性导致其化学转化没有得到广泛开发。在过去的几十年里,通过过渡金属催化的C−H键与CO2的羧化反应取得了较大进展,但涉及惰性C(sp2)−H键的直接羧化反应报道很少,且主要集中在贵金属铑和钯催化的反应。在此,我们报道了首例铁催化的使用Mn作为还原剂的惰性芳基C−H键与CO2的还原羧化反应。该转化避免了使用对空气和水汽敏感的金属有机试剂,具有广泛的底物范围。

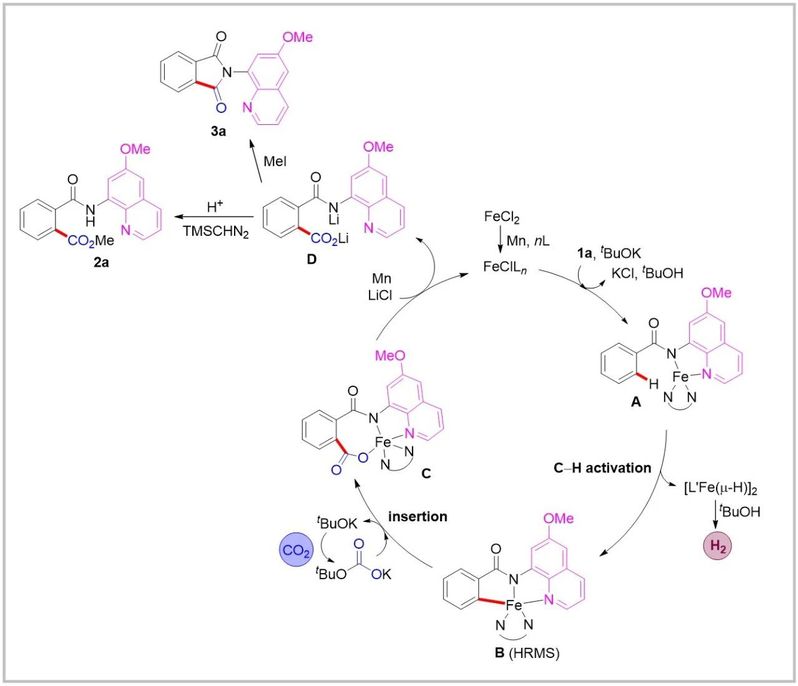
本文亮点:
本文通过考察铁催化的N-(6-甲氧基喹啉-8-基)苯甲酰胺底物与CO2的羧化反应,通过不同的后处理方法,成功以中等至高产率得到各种芳基羧酸甲酯或邻苯二甲酰亚胺。该反应展现出优异的底物普适性。与以前报道的镍催化体系相比,镍催化体系不兼容的缺电子底物在该反应体系中也具有很好的兼容性。克级实验验证了其合成实用性。通过在甲醇中使用TsOH处理很容易地除去底物的导向基团,以高产率得到邻苯二甲酸二甲酯。作者通过对反应瓶中气体进行气相色谱分析,检测到H2作为副产物。动力学同位素效应实验结果表明决速步可能涉及C-H键断裂。通过HRMS从反应混合物中检测到可能的Fe(II)-络合物中间体,支持了它作为催化循环中的潜在关键中间体。作者也通过电子顺磁共振(EPR)实验,确定了该反应的活性铁催化剂的氧化态为Fe(I)。在此基础上,作者提出了可能的催化反应机理。



总结与展望:
综上所述,作者发展了一种新型的铁催化芳基(杂)C(sp2)−H键与CO2的还原羧化反应,可以得到各种芳基羧酸甲酯或邻苯二甲酰亚胺。反应使用锰作为还原剂,避免了使用对空气和水汽敏感的金属有机试剂,具有更好的官能团兼容性和广泛的底物适用范围。该反应为发展铁催化的C−H键活化提供了新思路。本实验室正在对铁催化C−H键活化反应的详细机理进行深入研究,并进一步拓展至铁催化的其他C−H键活化反应。
研究成果以Communication的形式发表在CCS Chemistry。Betway必威王佰全教授为通讯作者,博士研究生王璐为第一作者。
文章详情:
Iron-Catalyzed Reductive Carboxylation of Aryl C–H Bonds with CO2 Without Organometallic Reagents
Lu Wang, Bin Li and Baiquan Wang*
Cite this by DOI: 10.31635/ccschem.025.202505727